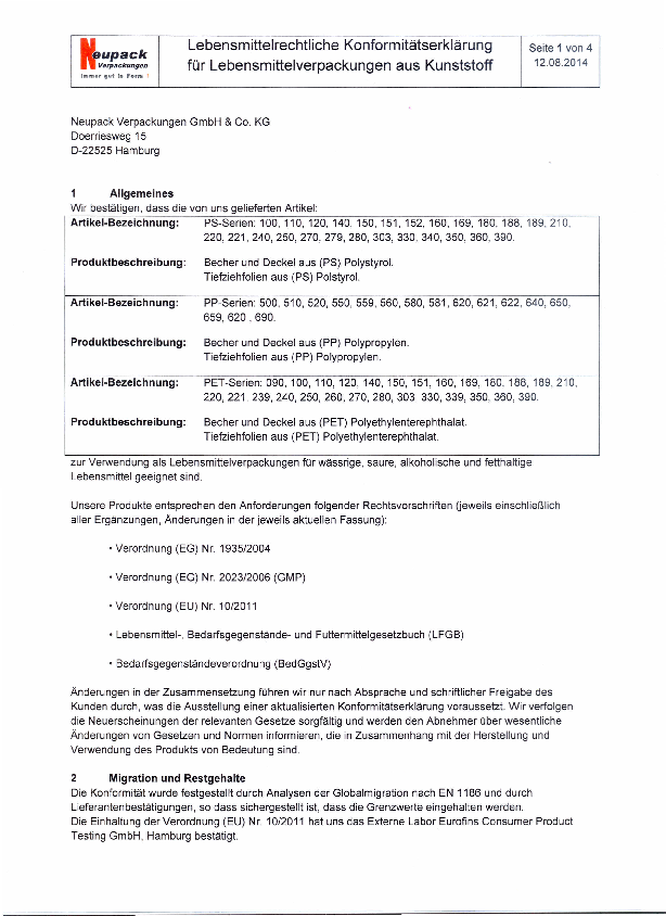
Blister-Rahmen 35 Größe XL (VPE 240St)
zzgl. 19% MwSt.
- Art.-Nr.:
- 20001606
- Verfügbarkeit:
- verfügbar
Kaufen Sie mit Mengenrabatt:
| ab | Einzelpreis | |
|---|---|---|
| 1 | 219,90 € | |
| 4 | 209,90 € |
Unsere Blister samt Zubehör – Für präzise und sichere Medikamentenaufbewahrung
Ordnung muss sein. Insbesondere bei der Dosierung und dem Verpacken von Medikamenten ist Präzision und Sicherheit von höchster Relevanz. Die Blister Rahmen von Lauer-Fischer garantieren beide Faktoren. Die Medikamente werden durch unsere Produkte nicht nur effektiv vor externen Einflüssen geschützt, unsere Einlagen in Übergrößen bieten ebenso genügend Platz für Variation bei der Dosierung.
Der Blister Rahmen für Becherblister
Der Blister Rahmen mit 35 Einlagen bietet die Möglichkeit, fünf anstatt vier Dosierungen am Tag auszuführen. So kann beispielsweise bei Nüchternheit am Morgen ein zusätzlicher Dosierungsschritt vorgenommen werden, ohne dass eine weitere Aufbewahrungsgefäß genutzt werden muss. Nicht nur die Einlagen selbst, sondern das gesamte A4 Format bietet Kunden und Kundinnen sowie Apothekenmitarbeitenden genug Platz zur sicheren und umfangreichen Tablettenaufbewahrung.
Der Blister Rahmen ist perfekt auf die Folien und Deckkarten in unserem Sortiment angepasst. Profitieren Sie zudem auch hier von einem Mengenrabatt.
Wir setzen auf Recycling
Die Rahmen entstehen aus recyceltem Polyethylenterephthalat (rPET), z.B. von Getränkeflaschen. Nach Gebrauch können unsere Blisterbecher wieder dem Wertstoffkreislauf (Gelber Sack) zugeführt oder thermisch verwertet, also in Heizenergie umgewandelt werden. Recycelte PET-Kunststoffe werden dann u.a. zur Herstellung von Textilfasern, Folien oder neuen Getränkeflaschen verwendet.
Blister, die Sie über uns in Umlauf bringen, sind bereits zur Beteiligung am Dualen System gemäß § 7 Abs. 1 Verpackungsgesetz
angemeldet. Unsere Registrierungsnummer bei der Stiftung Zentrale Stelle Verpackungsregister lautet DE2419418588712.
Das moderne Blistersystem
Der Becherblister, für eine einfache, sichere und zeitsparende Medikamentenvergabe.
Mit dem i-meds Becher-Blister können Sie feste Arzneimittel in einzelne Becher nach dem Medikationsplan zu versorgenden Patienten neu verblistern. Durch Ihre Dienstleistung, den nur Sie als Apotheker leisten können bieten Sie Ihren Kunden einen echten Mehrwert.
In der Apotheke:
Die Medikamente werden manuell oder maschinell im 7×4 oder 7×5 Rahmen gestellt und mit der Folie versiegelt. Video
- Der Blister Rahmen wird zum Befüllen in die vorgesehen Schaumstoffmatrize gelegt. Sie können sofort beginnen und die einzelnen Becher 7 × 4 oder 7 × 5 mit den entsprechenden Medikamenten übersichtlich befüllen.
- Nach dem Einfüllen der Medikation verschließen Sie mittels der Folie den Blister-Rahmen.
- Die Deckkarte wird mit dem Medikationsplan bedruckt und durch das Einstecken in die vorhergesehen laschen am Blister angebracht.
In der Pflegeeinrichtung:
Die Vergabe der Tageszeit-Dosis erfolgt als verschlossener Becher, in dem der einzelne Becher einfach aus dem Rahmen gelöst wird:
- Der Patient oder die Pflegekraft öffnen die Folie und die Arzneimittel können direkt mit Becher zur Einnahme verwendet werden.
- Kein Umfüllen in andere Becher mehr notwendig. Ein zeitraubender, Fehler-trächtiger Arbeitsschritt wird somit im Heim vermieden.
- Mit dem Becher können sie als Apotheker schnell und einfach auf Änderungen eingehen: Ein neuer Einzelbecher aus der Apotheke (maschinell oder von Hand gestellt) ersetzt den bereits im Heim befindlichen Becher.
Standortsicherung
Die inhabergeführte Apotheke sieht sich ständigen Veränderungen und neuen Herausforderungen im Markt gegenüber. Das erweiterte Angebot von Online-Apotheken oder Schlauchblister Zentren mit ihren großen Einzugsgebieten verändert die pharmazeutische Landschaft. Mit unseren Blister Lösungen zur manuellen Verblisterung können Sie sich Schritt für Schritt an den Markt herantasten.
zzgl. 19% MwSt.



